-

Solar Surface Magneto-Convection
- Supergranule scale Convection
- Magnetic Flux Emergence
- Active Region Formation
- Meso-granule scale Magneto-Convection
- Numerical Method
- Simulation Results
- Simulation vs. Observations
Oscillations
- Mode spectrum
- Mode frequencies
- Mode asymmetry
- Time-Distance Anaylsis
- Mode Driving and Damping
Radiation - Hydrodynamics
- Chromospheric dynamics and structure
- Dynamic line formation
Publications
Talks
Simulation Data
Our goal is to understand convection in the solar
envelope: its role in transporting energy and angular momentum, in
generating the solar magnetic field, in providing energy to heat the
solar chromosphere and corona, and interacting with waves and
oscillations.
This goal is pursued by studying the results of realistic simulations
of magneto-convection near the solar surface in collaboration with Åke
Nordlund (Copenhagen University), Mats Carlsson,
Viggo Hansteen and Boris Gudiksen (Oslo University), Junwei Zhao
(Stanford University) and Dali Georgobiani. [See
"Validation of Time-Distance Helioseismology by use of Realistic Simulations of Solar Convection", Astrophys. J., 659, 848-857, (2007);
"Solar Small Scale
Magneto-Convection", Astrophys. J., 642, 1246-1255,
(2006);
"Observational manifestations
of solar magneto-convection --- center-to-limb variation", Astrophys. J., 610, L137, (2004);
"Excitation
of Radial P-Modes in the Sun and Stars", Solar Phys.,
220, 229, (2004);
"Simulations of Solar Granulation:
I. General Properties'', Astrophys. J., 499, 914-933,
(1998);
"Formation of Calcium H and K Grains", Astrophys. J., 481, 500, (1997)]
Supergranule Scale Convection

Movie (89 Mb) of Velocity and streamlines in vertical slice. Duration is 15
hours. Scale is 48 Mm wide x 20 Mm deep. Red are downflows and blue are
upflows. (courtesy Chris Henze, NASA)
At the top are the granules. Deeper down are larger structures.
Downflows are swept sideways and merged by the diverging upflows from below.
Some downflows are halted, beating there way down against the upflows.
Flow topology changes rapidly near the surface and very slowly at large depth.

Movie (136 Mb) shows the Finite Time Lyapunov Exponent Field, which closely
corresponds to the vorticity, for a time interval of 11.75 hours, in a
subdomain 21 Mm wide x 19 Mm high x 0.5 Mm thick, from a 48x48 Mm wide
by 20 Mm deep simulation. (Courtesy Bryan Green (AMTI/NASA).)
The size of convective cells increases with depth in order to conserve
mass as the scale height becomes larger with the increasing temperature.

Velocity slices
Movie (400 Mb) of the vertical velocity scaned in depth. The images
show the velocity at the visible surface (top left) and 2, 4, 8, 12,
and 16 Mm below the surface. Each slice is 48 Mm square. Green and
blue are upflows, while yellow and red are downflows.
The downflows occur in more or less connected lanes
surrounding compact upflow cells -- a granule at the surface and
continuously larger cells with increasing depth below the surface.
There are no special mesogranule or supergranule scales.
Emerging Magnetic Flux
Simulations
We have simulated the emergence of magnetic flux through the solar
surface. Horizontal magnetic flux is is advected by inflows into
the computational domain 20 Mm below the surface. Upflows and
magnetic buoyancy carry the flux to the surface. Dowflows push it
down. This produces loop like structures on many different scales
because the size of the upflow regions and separation of the downflows
decreases as the surface is approached from below.

Movie (264 Mb) of magnetic flux rising to the surface from 20 Mm
depth. Color is |B| in kG. White arrows
are scaled velocity field. The inflow horizontal field at 20 Mm
depth was gradually increased in strength with a 5 hour e-folding
time until it reached 5 kG and then held fixed from that time
forward.

Movie (164 Mb) of log(B). The overall impression is one of magnetic field
moving downward. However, rising loops can also be clearly followed. As they
rise some loops become filamentary. Where loops pass through the upper boundary
they leave behind their vertical legs. Where theses become concentrated pores
and spots form.
Simulation results are found here.
A small active region forms from a large subsurface magnetic loop
produced by convective motions (see movie above) from uniform,
horizontal, untwisted magnetic field of 1 kG strength at an angle
of 30o to the east-west x-axis that is advected by upflows
into the computational domain at 20 Mm depth. Magnetic field first
appears as small bipoles with mixed polarity. The opposite polarities
separate over time into unipolar flux concentrations which become
pores. The leading pore is more conentrated than the following
pores and is rotating. The total unsigned vertical magnetic flux
at the end is of order 1021 Mx.

Movie (47 Mb): Vertical magnetic field. The
images is clipped at 1.7 kG; the actual range is 3 kG at optical
depth 0.1. Time is since uniform, untwisted, horizontal field
started being advected into the convective domain. |

Movie (202 Mb): Emergent intensity with superimposed contours of
vertical field at continuum optical depth 0.1 at levels 100G and
1.5kG. Initial active region froms in upper right. Later another
active region begins to form near the bottom center. Intensity
is clipped at I/avg(I) = [0.5,2]. Actual range is [0.2,2.5]. |

Movie (97 Mb): Magnetic field components (red vertical down, blue
vertical up, green horizontal) at average continuum optical depth
0.1. Extremes of the magnetic field have been clipped. Actual
extent is vertical 1.8 kG and horizontal 1.3 kG. The field emerges
in localized areas as horizontal field over granules with opposite
polarity vertical fields at the end points of the loop in the
intergranular lanes. The horizontal field either rises through the
upper boundary and disappears or is swept into the intergranular
lanes. Due to the underlying large scale loop, opposite polarity
field counter streams into unipolar concentrations and forms pores
and spots.
|

Movie (57 Mb): Depth scan of vertical (red and blue) and horizontal
(green) magnetic fields (scale in kG) at a time when the first
active region is well formed and the new active region in the bottom
center is beginning to form. The loops from which the active regions
form as visible as green horizontal field concentrations below the
surface. |

Movie (59 Mb): Continuum intensity image with horizontal magnetic
field vectors. The intensity is clipped at I/avg(I)=[0.5,2.3] in
order to clearly show the quiet Sun. The actual range is [0.2,2.5].
|

Movie (157 Mb): Continuum intensity image with contours of vertical
(red and orange) and horizontal (green and blue) contours at 200
and 400 G. The intensity is clipped at I/avg(I)=[0.5,2.3] in order
to clearly show the quiet Sun. The actual range is [0.2,2.5].
|
Meso-Granular Scale Magneto-Convection

Movie (47 Mb) emergent intensity from magneto-convection simulation showing
center to limb variation (courtesy Mats Carlsson).
Granules appear hilly when viewed toward the limb because they really are.
Hot granules emit their radiation higher up than cool intergranular lanes.

Movie (9 Mb) of G-band intensity at disk center and mu=0.6 from
magneto-convection simulation (courtesy Mats Carlsson).
Small, strong magnetic field concentrations appear bright because their density is lower (to maintain pressure balance with their surroundings) so one sees
deeper into the Sun where it is hotter. Towards the limb, when one looks
through a low density, low opacity magnetic concentration one sees radiation
from the hot granule walls behind, which is called faculae.

Movie (15 Mb) of magnetic field being swept into the intergranular lanes by
the diverging upflows in granules and underlying larger flows.
Solve the equations for conservation of mass, momentum and internal energy,
plus the induction equation for the magnetic field in conservative form,
on a staggered grid. Use 6th order finite difference spatial derivatives,
5th order interpolation, 3rd order Runge-Kutta time integration.
Essential physics:
 
Equation of State includes ionization.
Ionization energy dominates internal energy near surface.

 
Radiative Transfer crucial
- Produces low entropy gas whose buoyancy work drives the
convection.
- Controls what we observe.
- Boundary of CZ occurs near tau=1
- Line blocking increases surface temperature
 
Diffusion
- stabilize numerics, damp short wavelength fluctuations.
- use hyperviscosity that enhances diffusivity at small scales and damps it at large scales.
 
Boundary Conditions
- Horizontal: periodic
- Top: Transmitting
- Bottom: set incoming fluid properties
- Bottom: node for vertical motions
 
Computational Domain
 
Mean Atmosphere
 
Topology controlled by mass conservation.
To conserve mass as it enters lower density layers, ascending fluid
diverges and turns over into a downflow in approximately a scale
height. Convective flow is like a fountain. It is consists of warm,
broad, fairly laminar, slow upflows, surrounded by cool, narrow,
turbulent, fast downdrafts. The horizontal size of the upflow cells
decreases as the as the scale height decreases approaching the
surface. Only a small fraction of ascending fluid actually reaches the
surface.

A granule. The top surface shows the emergent intensity. The interior
colors show the temperature and the arrows show the flow velocity.
A granule resembles a fountain. Hot fluid rises in the center and is
diverted horizontally into the intergranule lanes by excess pressure
over the granules. Fluid that reaches the surface cools, loses
entropy, and forms the cores of the downdrafts.
Convection is driven by radiative cooling
in a thin surface thermal boundary layer produces low entropy gas that
forms the cores of downdrafts.
Convection is inherently non-local. The
low entropy downdrafts, produced by radiative cooling in the surface
thermal boundary layer, generate most of the buoyancy work that drives
the convection: both large scale cellular flows and small scale
turbulent motions.

movie (127 Mb)

Entropy fluctuations and mean value.

Entropy fluctuation histogram.

Movie of entropy fluctuations in a downdraft (31 Mb)
(1.2 Mm)2 x 2.5 Mm deep
Convection characterized by turbulent
downdrafts and smooth upflows, not hierarchy of eddies.
Vorticity primarily in intergranular
lanes and downdrafts.



Movie of vorticity in same downdraft as entropy above (31 Mb)
(1.2 Mm)2 x 2.5 Mm deep
vorticity movie showing ring vortex and trailing vortex
tubes (127 Mb)
Horizontal scale increases
with increasing depth, also because of mass conservation.
No distinct mesogranular or supergranular cell size.

Vorticity slices
The top slice shows vortex tubes at the surface viewed from above. The
dark areas are free of significant vorticity and correspond to the hot,
upflowing, bright granules. The vortex tubes are concentrated in the
cool, downflowing, dark intergranule lanes. The twisting of these
vortices about one another shows the turbulent nature of the flow.
At increasing depth, lower slices, the vorticity becomes confined to the
boundary of the mesogranule and the large upflow cell in the interior of
the mesogranule is nearly vorticity free.
Simulation vs. Observations
- Granulation
(visible continuum).
Emergent Intensity

The emergent intensity in the simulation (top) is very similar to the
observed solar intensity (bottom) when the simulation results are
smoothed with a modulation transfer function to represent the effects
of the telescope and atmospheric seeing (middle). The observations are
from the Swedish Solar Observatory on La Palma, courtesy of the
Lockheed Palo Alto Research Center.
Size Spectrum
But beware: any image with sharp edged features (such as
) produces such a distribution.
Emergent intensity distribution
(visible continuum).

- Photospheric line profiles (visible)
(
"Line formation in solar granulation. I. Fe line shapes, shifts
and asymmetries", Asplund, M., Nordlund, Å., Trampedach,
R., Allende Prieto, C. and Stein, R. F., Astron. and Astroph.,
359, 729-742, 2000)
Line Formation: Fe I+II lines
- LTE (use majority species, weak lines)
- Accurate wavelengths and gf-values
- No free parameters (no micro-
or macroturbulence, damping enhancement, etc)
Line widths, shifts, and shapes provide constraints
- Width <->
flow velocity (thermal speed is small)
- Shift <->
temperature-velocity correlations
- Shape <->
details of convective overshoot, cf bisectors
Excellent agreement exists between simulated and
observed profiles of weak and intermediate strength FeI and FeII lines.
Without the convective and wave velocities, the line
profiles would differ drastically from the observed profiles:

Including velocities and sufficient resolution, produces close
agreement between simulated and observed profiles:
2D simulations do not give observed profiles

The average profile is a combination of profiles with very different
shifts, widths and shapes.  (Thick red
line is average profile)

Line shapes depend on the details of the convection overshooting and
are revealed in the line bisectors.
 
Small differences exist between synthetic and observed profiles for
strong FeI lines. These can be used to improve
the physics of the upper photosphere (and chromosphere).
- Velocity Spectrum
The simulation velocity spectrum fits almost exactly with the
observed velocity spectrum from MDI and TRACE. This shows that our
simulations have the correct velocity amplitude and at large scales
the correct spectrum.

Agreement with observations gives confidence in model
of convection
- Mode Spectrum

k-omega diagram.
The simulations excite a rich spectrum of p-mode oscillations (left),
very similar to the MDI diagram (right). The dark line is the theoretical
f-mode.
- Mode Frequencies
(
"Convective contributions to the frequencies of solar oscillations",
Rosenthal, C. S., Christensen-Dalsgaard, J., Nordlund, Å., Stein,
R. F., Trampedach, R., Astron. and Astrophys. 351, 689-700, 1999)
Acoustic eigenmodes of the atmosphere in our simulation are excited. We
can study the properties of these simulation p-modes to understand
the solar p-modes better.
The mean atmosphere from the simulations gives p-mode
eigenfrequencies in better agreement with observed modes than
standard, spherically symmetric, mixing-length models.
Standard, 1-D, Spherically Symmetric, Mixing Length Model

3D Convection Simulation + Mixing Length Envelope Extension

High frequency modes' cavity is
enlarged by
- turbulent pressure support
(convergence to correct value ensured by line widths)

- 3D radiative transfer effects
Don't see hot gas.  
Average temperature higher for a given effective
temperature

Contribute equally to elevating photosphere by 150 km.

High frequency modes' frequency is reduced.
 
Remaining discrepancies in mode frequencies can now be used to
investigate details of the dynamical interaction of p-modes with
convection.
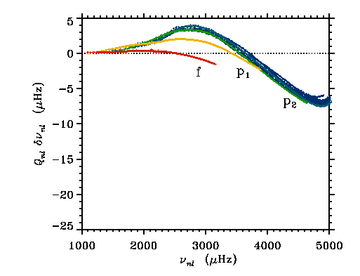
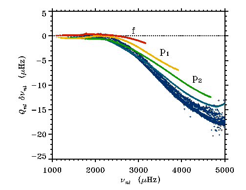
- Mode Asymmetry (helioseismology).
P-mode spectrum is asymmetric. Velocity power is larger toward
low frequencies and Intenstiy power is larger toward high
frequencies.
(
"Numerical Simulations of Oscillation Modes of the Solar Convection
Zone", Georgobiani, D. Kosovichev, A.G., Nigam, R., Nordlund,
Å, Stein, R.F. Astrophys. J., 530, L139-L142, 2000)
Intensity-Velocity phase jumps at modes.
- Time-Distance Diagram (helioseismology)

Time - Distance diagram.
The simulation and mdi time-distance diagrams are similar. Dark line is
the theoretical td-diagram. (courtesy Junwei Zhao)
- P-mode Excitation (helioseismology).
(
"Solar Oscillations and Convection: II. Excitation of Radial
Oscillations", Stein, R. F. and Nordlund, Å., Astrophys.
J., 546, 585-603, 2001)
Stochastic, non-adiabatic, gas and turbulent pressure fluctuations
excite the p-modes via PdV work,

Mode excitation rate is,


Driving decreases at low frequencies
because the mode compression decreases and the mode mass
increases.

Driving decreases at high frequency
because the pressure fluctuations decrease.

Driving occurs closer to the surface at higher
frequencies

Logarithm (base 10) of the work integrand as a function of
frequency and depth (in unites of erg/cm2/s).
Driving occurs in the intergranular lanes and
at the edges of granules.

Non-adiabatic pressure fluctuations at 100 km depth
in the 2 - 5 mHz range, with the contours of zero velocity at
the surface to outline the granules. The units of the pressure
fluctuations are 103 dyne cm$-2. In this
frequency range, where the driving is maximal, the largest pressure
fluctuations occur at the edges of granules and inside the
intergranular lanes.
Mats Carlsson (Oslo University) and I have performed self-consistent
non-LTE radiation hydrodynamics simulations of the propagation of
acoustic waves through the solar chromosphere. We find that the
chromosphere is dynamic and that static diagnostics do not accurately
represent its properties. For instance, enhanced
chromospheric emission, which corresponds to an outwardly increasing
semi-empirical temperature structure, can be produced by wave motions
without any increase in the mean gas temperature. This is because in the
ultraviolet and visible the Planck function depends exponentially on the
temperature, so the emission tends to represent the temperature maxima
rather than the mean values. Thus, despite long
held beliefs, the sun may not have a classical chromosphere in magnetic
field free internetwork regions
(``Does a Non - Magnetic Solar Chromosphere Exist?'',
Carlsson & Stein, Ap. J. Lett., 440, L29 (1995)).
Chromospheric Temperature

Time averaged (Mean) gas temperature in the dynamical simulation and
the Semi-empirical temperature that gives the best fit to the time
average of the intensity as a function of wavelength calculated from
the dynamical simulation.
Also shown are:
the minimum and maximimum (range) temperatures in the simulation,
the starting model temperature,
and the semi-empirical model of Fontenala, Avrett & Loeser, 1993.
The semi-empirical model giving the same intensities as
the dynamical simulation shows a chromospheric temperature rise while
the mean temperature in the simulation does not.
We have also simulated the generation of CaII H2V bright
grains by acoustic shocks. The bright grains are produced by shocks
near 1 Mm above tau500=1. The asymmetry of the line profile is
due to velocity gradients.
The formation of the CaII H2V bright grains. The
contribution function to intensity (lower right) and the factors
entering its calculation, opacity and optical depth (upper left),
Source function (upper right) and tau*exp(-tau) (lower left). The
functions are shown as grey-scale images as functions of frequency in
the line (in velocity units) and height in the atmosphere. All
panels also show the velocity as a function of height (with upward
velocity positive to the left in the figure) and the height where
tau=1 (grey line). The top right panel, in addition, shows the
Planck function (dotted) and the source function (dashed), with high
values to the left. The source function (image, upper right panel)
is constant across the line at a given height, because of the
assumption of CRD, and is substantially below the Planck function
above 1 Mm due to the non-LTE decoupling. The bottom right panel
also shows the emergent intensity as a function of frequency.
The simulations closely match the observed
behavior of CaII H2V bright grains down to the level of
individual grains
(
"Formation of Calcium H and K Grains",
Carlsson, M. and Stein, R. F., Astrophys. J. 481, 500, 1997).
The crucial lesson to learn from these studies is that the chromosphere is Dynamic and a static
analysis may not give correct results,
(
"The New Chromosphere", Carlsson, M. and Stein, R. F., in
New eyes to see inside the sun and stars : pushing the limits of
helio- and asteroseismology with new observations from the ground and
from space, IAU Symposium 185, eds. F. L. Deubner, J.
Christensen-Dalsgaard and D. Kurtz, (Kluwer:Dordrecht) 435-446, 1998,
and
"Dynamic Behavior of the Solar Atmosphere", Stein, R. F. and
Carlsson, M., in Solar Convection and Oscillations and their
Relationship, eds. F.P.Pijpers, J. Christensen-Dalsgaard, C.
Rosenthal, (Kluwer:Dordrecht), 261-276, 1997).
This research is/was supported by NASA grants NNX07AO71G, NNX07AH79G,
NNX08AH44G, and NSF grant AST-0605738. The calculations were
performed on the NASA Advanced Supercomputing Division "Pleiades"
computer. Any opinions, findings, and conclusions expressed in
this material are those of the author(s) and do not necessarily
reflect the views of NASA or the NSF.
This page has been accessed
times.
Updated:
Bob Stein's home page, email:
stein@pa.msu.edu